标题:Limits of Brownian trees with exponential weight on the height
报告时间:2025年8月13日(星期三)10:00-11:00
报告地点:人民大街校区惟真楼523报告厅
主讲人:何辉
主办单位:数学与统计学院
报告内容简介:
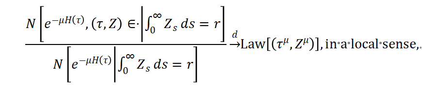
We consider a Brownian continuum random tree τ and its local time process at level s, say Zs, which evolves as a Feller branching diffusion. Denote by H(τ) and N the height and the law of the tree τ, respectively. Let μ ∈ R be a constant. We show that as r → ∞,

where if μ < 0, then τμ is a Kesten tree and if μ > 0, then τμ is the so-called Poisson tree constructed in Abraham, Delmas and He (2022, arXiv) by studying the local limits of τ. Moreover, Zμ is the local time process of τμ, which is a new diffusion, as already proved by Overbeck in 1994 by studying the Martin boundary of Z. We give a new representation of this diffusion using an elementary SDE with a Poisson immigration. The talk is based on some ongoing works with Romain Abraham, Jean-François Delmas and Meltem Ünel.
主讲人简介:
何辉,北京师范大学教授。2003年本科毕业于安徽大学,2008年博士毕业于北京师范大学,2009-2010年在法国奥尔良大学做博士后。主要从事与概率论有关的教学和科研工作。